|  -----  -----  -----  | |
|  | |
|  | |
|  | |
| Die Hüllkurvengleichungen | |
|  | |
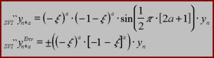
| Ergebnis des Kapitel 4 sind insgesamt 5 | |
| "Hüllkurvengleichungen" | |
| aus den Filtertypen | |
| Typ "SVI" | |
|  Fall "10" | |
|  Fall
"12" | |
|  Fall "11" | |
| Typ "SRI" | |
|  Fall "8" | |
|  Fall "9" | |
| Die Fälle "1" bis "7" werden nicht weiter betrachtet, da diese in "8" bis "12" aufgehen. | |
|  | |
| Stand: 24. Februar 2021 | |
|  -----  -----  -----  | |